Prescribed Performance Control
As to control systems, transient performance is as important as steady-state performance. For some special dynamic systems, transient performance is a more prior index in comparison with the steady-state one. Prescribed performance control (PPC) has been proved to be a powerful tool that guarantees control system outputs/errors with desired transient performance as well as steady-state performance.1
A new control methodology namely prescribed performance control (PPC) was proposed for the first time by Bechlioulis 2 3 in 2008 for the purpose of satisfying prescribed performance.
A brief introduction of PPC
The core issues of PPC include
- performance function
- Applied to impose boundary constraints on tracking errors
- equivalent transformation
- Based on the error transformation approach, a transformed error is defined.
- The transformed error, instead of the original tracking error, is used to devise feedback controllers.
- controller design
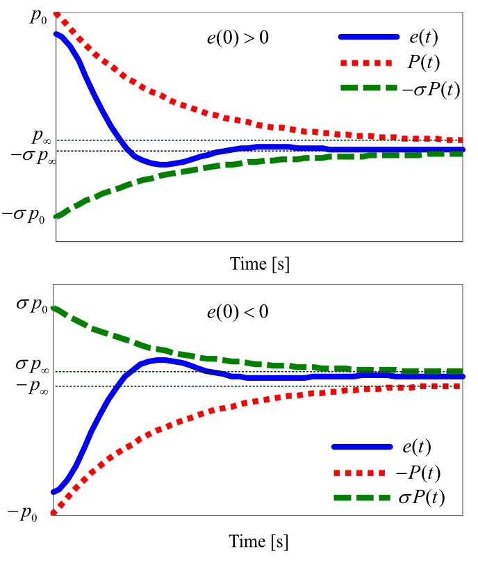
Performance function
- $P(t)$ is smooth, positive and decreasing for all $t\ge 0$
- $\lim_{t\to0} P(t)=p_0$, $\lim_{t\to\infty} P(t)=p_{\infty}$, and $p_0>p_{\infty}>0$
where $p_0, p_{\infty}, \iota \in\mathbb R^{+}$.
- $P(t)\in[p_0, p_{\infty})$
- $\iota$ is the convergence rate of $P(t)$
where $0\le\sigma\le 1$ for all $t\ge 0$. By choosing $p_0,p_{\infty}$ and $\iota$ for $P(t)$, the transient performance such as overshoot and convergence time of $e(t)$ can be guaranteed. Moreover, the steady-state performance of $e(t)$ also can be achieved $-\sigma p_{\infty}<e(\infty)<p_{\infty}$ or $- p_{\infty}<e(\infty)<\sigma p_{\infty}$.
However, it is impossible to directly develop controllers using the above constrained system. We need use the error transformation which is capable of Transforming the above equation into the following “unconstrained “ formulation.
\[e(t)=E(\xi)P(t),\]where $\xi$ is a transformed error and the function $E(\xi)$ satisfies
- $E(\xi)$ is smooth, bounded and strictly increasing.
- $E(\xi)\in(-\sigma, 1)$ if $e(0)>0$ and $E(\xi)\in(-1,\sigma)$ if $e(0)<0$.
- $\lim_{\xi\to-\infty} E(\xi)=-\sigma$ and $\lim_{\xi\to+\infty} E(\xi)=1$ if $e(0)>0$, and $\lim_{\xi\to-\infty} E(\xi)=-1$ and $\lim_{\xi\to+\infty} E(\xi)=\sigma$ if $e(0)<0$
Therefor, we have the transformed error
\[\xi=E^{-1}\left(\frac{e(t)}{P(t)}\right)=\begin{cases}\frac12\mathrm{ln}\left(\frac{e(t)/P(t)+\sigma}{1-e(t)/P(t)}\right),\mathrm{if}e(0)\geq0\\\frac12\mathrm{ln}\left(\frac{e(t)/P(t)+1}{\sigma-e(t)/P(t)}\right),\mathrm{if}e(0)<0,&\end{cases}\]Where $E^{-1}$ is the inverse funcitos.
Controller design based on PPC
Consider a SISO dynamic system, given by
\[\dot x = f(x)+g(x)u\]where $x,u$ are system state and control input, and $f(x), g(x)$ are continuous functions.
Define tracking error
\[e(t)=x-x^{ref}\] \[\begin{aligned} \dot{\boldsymbol{\xi}}=& \Delta_{\xi}\left(\dot{e}(t)-\frac{P(t)}{P(t)}e(t)\right) \\ =& \Delta_\xi\left(f(x)+g(x)u-\dot{x}^\mathrm{ref}-\frac{\dot{P}(t)}{P(t)}e(t)\right), \end{aligned}\] \[\Delta_\xi=\begin{cases}\frac{1+\sigma}{2P(t)[e(t)/P(t)+\sigma][1-e(t)/P(t)]}>0,\mathrm{if~}e(0)\geq0\\\frac{1+\sigma}{2P(t)[e(t)/P(t)+1][\sigma-e(t)/P(t)]}>0,\mathrm{if~}e(0)<0.&\end{cases}\]As a result, it is convenient for controller design using $\dot \xi(t)$ rather than $\dot e(t)$. The Lyapunov synthesis approach can guarantee the convergence of $\xi$.
\[V(\xi)=\frac{1}{2}\xi^T\xi,\quad \dot V(\xi) =\xi^T \dot\xi\]Design the input $u$ to satisfied
\[\dot V(\xi) + V(\xi) \le 0\]If the initial value of tracing error $e(t)$ is known, the constraint boundary can be simplified as follows:
\[-\sigma_LP(t)<e(t)<\sigma_RP(t)\] \[E(\xi)=\frac{\sigma_Re^{\xi}-\sigma_Le^{-\xi}}{e^{\xi}+e^{-\xi}}\]Then, a transformed error
\[\xi=E^{-1}\left(\frac{e(t)}{P(t)}\right)=\frac12\ln\left( \frac{e(t)/P(t)+\sigma_L}{\sigma_R-e(t)/P(t)} \right)\] \[\Delta_\xi=\frac{1}{2P(t)\left(e(t)/P(t)+\sigma_L\right)}-\frac{1}{2P(t)\left(e(t)/P(t)-\sigma_R\right)}>0\]References
Prescribed performance control approaches, applications and challenges: A comprehensive survey - Bu - 2023 - Asian Journal of Control - Wiley Online Library ↩
Robust Adaptive Control of Feedback Linearizable MIMO Nonlinear Systems With Prescribed Performance | IEEE Journals & Magazine | IEEE Xplore ↩
Prescribed performance adaptive control of SISO feedback linearizable systems with disturbances | IEEE Conference Publication | IEEE Xplore ↩

